荔枝视频资源在线观看,荔枝视频在线观看视频最新,荔枝视频在线观看黄色网站,荔枝视频APP黄色网站免费下载

    芬兰Kibron专注荔枝视频在线观看视频最新测量技术,快速精准测量动静态表面张力

    热线:021-66110810,66110819,66110690,13564362870 Email: info@vizai.cn

    合作客户/

    拜耳公司.jpg

    拜耳公司

    同济大学

    同济大学

    联合大学.jpg

    联合大学

    宝洁公司

    美国保洁

    强生=

    美国强生

    瑞士罗氏

    瑞士罗氏

    当前位置首页 > 新闻中心

    球拟假丝酵母菌合成槐糖脂类表面活性剂、降解含油废水的表面张力(二)

    来源:《中国海洋大学学报(自然科学版)》 浏览 16 次 发布时间:2025-10-23

    1.2.3培养液残留原油的提取、纯化和鉴定


    采用重量法测定培养液中残留原油。取培养液使用正己烷萃取至清澈,合并有机相,40℃减压蒸馏除去正己烷得到原油,转移至称量瓶中氮气吹干后称取原油质量。然后称取约0.1g剩余原油通过硅胶柱层析,参考美国EPA.8270E(SW-846)方法进行柱层析分离饱和烃和不饱和烃组分,利用气相色谱质谱(GC-MS)联用仪(TSQ8000Evo美国ThermoScientific公司)分别测定饱和烷烃(包括姥鲛烷、植烷)和多环芳烃组分含量,方法为:取烷烃和芳烃洗脱液利用GC-MS测定,载气为He,载气流速1.0 mL/min;无分流自动进样,进样量1μL;升温程序为50℃保持2min,以6℃/min升温至300℃,保持15 min;进样口和检测器温度分别为280和300℃;质谱检测器采用EI离子源;离子源温度为230℃;定量采用SIM扫描方式。


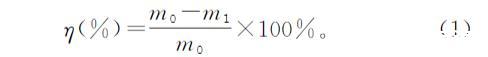
    依据公式(1)计算石油烃降解率:



    式中:m0表示对照培养液中残余油含量(g·L-1);m1表示实验组培养液中残余油含量(g·L-1)。


    1.2.4槐糖脂的提取、纯化和鉴定


    将培养10d后的发酵液经等体积的乙酸乙酯萃取两次合并有机相,利用旋转蒸发仪(RE-52A上海亚荣生化仪器)40℃减压蒸馏除去乙酸乙酯得到黄色粗提产物。粗提产物用薄层层析(TLC)进行初步定性分析,以本实验室由S.bombicola发酵生产纯化后的槐糖脂纯品为标准样。展开剂为氯仿/甲醇/水(65∶15∶2,体积比)。显色剂为苯酚-硫酸试剂,在105℃显色5 min,糖类显棕色斑点。


    所提取的产物进一步通过高效液相色谱-质谱(HPLC-MS)联用仪进行结构分析,简述如下:取3.0g层析硅胶在110℃的温度下活化4h后,填充到玻璃层析柱中(顶部加入1cm无水硫酸钠),取0.05~0.1g粗产品溶于2 mL乙酸乙酯/甲醇(10∶1,体积比)混合溶剂中,用40 mL上述混合溶剂洗脱,再通过旋转蒸发仪除去有机相得到槐糖脂纯化品。采用高效液相色谱-高分辨串联质谱联用仪(1290 HPLC-BrukermaXis Q-TOF美国Agilent公司)测定纯化品槐糖脂同系物的组分,色谱柱为Waters ACQUITY UPLC BEH130C182.1mm×150 mm×1.7μm。实验条件:流动相A:V(甲酸)∶V(乙腈)∶V(水)=0.1∶1.0∶99.0;流动相B:V(甲酸)∶V(乙腈)=0.1∶100.0;流速为0.2 mL/min。等度洗脱条件为:流动相B的体积分数为80%。柱温:30℃,进样量:1μL,UV检测波长:207nm,无分流进入质谱。质谱条件:电喷雾正离子模式;扫描范围m/Z:200~1000;毛细管电压:4.5kV;喷雾气压10342.5 Pa;干燥气(N2)流速:6L/min;气体温度:80℃;分辨率:50000。


    1.2.5菌体细胞电子显微镜观察


    通过透射电子显微镜(TEM)观察不同培养阶段S.bombicola细胞结构的变化。在培养第1天和第10天时分别移取添加原油浓度为0.5%的发酵液约10mL,在3500r·min-1,4℃条件下离心15 min后收集菌体。依次用2.5%的戊二醛和1%的四氧化锇固定,30%~100%的乙醇系列脱水,然后用环氧树脂包埋,切片,经醋酸铀,柠檬酸铅双染色后用TEM观察结构变化。


    2结果与讨论


    2.1菌株O-13-1对采油废水中石油烃的降解作用


    在10d的降解时间内,接种S.bombicola的降解体系中油污染物被充分乳化分散为小油珠,培养液颜色明显加深,而未接种O-13-1菌株的对照培养体系原油仍呈块状漂浮于培养液表面。图1表示不同初始油浓度下经10d降解后的剩余原油量和原油降解率,结果表明,在10d的降解时间内,与空白对照相比,油浓度为0.3%、0.5%和0.8%的废水中油污染物降解率分别提高了18.0%、16.9%和11.9%,这表明所接种的S.bombicola菌株对废水中原油有明显的强化降解作用,且随废水中油浓度的降低,生物降解率逐渐提高,这与Rahman等的研究结果基本一致。这可能是由于油浓度过高,对降解菌细胞具有一定的毒性,降解菌需要较长的时间适应调整。


    正构烷烃的中等碳数(C17—C28)组分降解率变化趋势如图2所示。接种S.bombicola的培养体系中各组分下降明显。油浓度为0.8%、0.5%和0.3%的降解体系中正构烷烃降解率分别为7.0%~12.8%、17.9%~44.0%和4.5%~27.7%,表明S.bombicola可对原油中正构烷烃组分进行生物降解。实际上,已有研究表明,S.bombicola可高效降解石油烃中的烷烃类组分。在降解过程中,原油首先被吸附于菌细胞表面。

    图1不同初始油浓度下经10d培养后剩余原油含量和原油降解率的变化

    图2油浓度为0.8%(a)、0.5%(b)和0.3%(c)的培养体系中正构烷烃的中等碳数组分降解率


    网站地图